735 字
4 分钟
LeetCode刷题(反转链表Ⅱ、随机链表的复制)
反转链表Ⅱ
题目描述
给你单链表的头指针 head 和两个整数 left 和 right ,其中 left <= right 。请你反转从位置 left 到位置 right 的链表节点,返回 反转后的链表 。
示例 1:

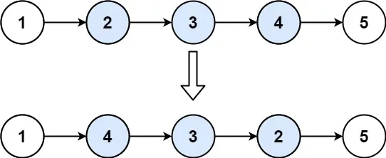
输入:head = [1,2,3,4,5], left = 2, right = 4
输出:[1,4,3,2,5]示例 2:
输入:head = [5], left = 1, right = 1
输出:[5]题解
先遍历left-1,找到要交换链表起始节点的上一个节点lastNode,用cur指针指向交换的起始节点
每次将元素提前算法:用next指向要放入点前面的节点,cur指向交换结点的下一个节点等待下次交换,将next节点放入lastNode节点的下一位,依次交换right-left次即可
class Solution {
public ListNode reverseBetween(ListNode head, int left, int right) {
ListNode result = new ListNode();
result.next = head;
ListNode lastNode = result;
for(int i = 1; i < left; i++) {
lastNode = lastNode.next;
}
ListNode cur = lastNode.next;
ListNode next;
for(int i = 0; i < right - left; i++) {
next = cur.next;
cur.next = next.next;
next.next = lastNode.next;
lastNode.next = next;
}
return result.next;
}
}随机链表的复制
题目描述
你一个长度为 n 的链表,每个节点包含一个额外增加的随机指针 random ,该指针可以指向链表中的任何节点或空节点。
构造这个链表的 深拷贝。 深拷贝应该正好由 n 个 全新 节点组成,其中每个新节点的值都设为其对应的原节点的值。新节点的 next 指针和 random 指针也都应指向复制链表中的新节点,并使原链表和复制链表中的这些指针能够表示相同的链表状态。复制链表中的指针都不应指向原链表中的节点 。
例如,如果原链表中有 X 和 Y 两个节点,其中 X.random --> Y 。那么在复制链表中对应的两个节点 x 和 y ,同样有 x.random --> y 。
返回复制链表的头节点。
用一个由 n 个节点组成的链表来表示输入/输出中的链表。每个节点用一个 [val, random_index] 表示:
val:一个表示Node.val的整数。random_index:随机指针指向的节点索引(范围从0到n-1);如果不指向任何节点,则为null。
你的代码 只 接受原链表的头节点 head 作为传入参数。
题解
合并+分离,分三次循环,第一次循环创建后置节点,第二次跨格将指针指向对应的后置节点,第三次将合并的链表拆分
class Solution {
public Node copyRandomList(Node head) {
if(head == null) {
return null;
}
Node p = head;
while(p != null) {
Node node = new Node(p.val);
node.next = p.next;
p.next = node;
p = node.next;
}
p = head;
while(p != null) {
if(p.random != null) {
p.next.random = p.random.next;
}
p = p.next.next;
}
Node result = new Node(-1);
p = head;
Node cur = result;
while(p != null) {
cur.next = p.next;
cur = cur.next;
p.next = p.next.next;
p = p.next;
}
return result.next;
}
} LeetCode刷题(反转链表Ⅱ、随机链表的复制)
https://thrinisty.github.io/Blog/posts/leetcode刷题反转链表ⅱ随机链表的复制/