IPO
题目描述
假设 力扣(LeetCode)即将开始 IPO 。为了以更高的价格将股票卖给风险投资公司,力扣 希望在 IPO 之前开展一些项目以增加其资本。 由于资源有限,它只能在 IPO 之前完成最多 k 个不同的项目。帮助 力扣 设计完成最多 k 个不同项目后得到最大总资本的方式。
给你 n 个项目。对于每个项目 i ,它都有一个纯利润 profits[i] ,和启动该项目需要的最小资本 capital[i] 。
最初,你的资本为 w 。当你完成一个项目时,你将获得纯利润,且利润将被添加到你的总资本中。
总而言之,从给定项目中选择 最多 k 个不同项目的列表,以 最大化最终资本 ,并输出最终可获得的最多资本。
答案保证在 32 位有符号整数范围内。
示例 1:
输入:k = 2, w = 0, profits = [1,2,3], capital = [0,1,1]
输出:4
解释:
由于你的初始资本为 0,你仅可以从 0 号项目开始。
在完成后,你将获得 1 的利润,你的总资本将变为 1。
此时你可以选择开始 1 号或 2 号项目。
由于你最多可以选择两个项目,所以你需要完成 2 号项目以获得最大的资本。
因此,输出最后最大化的资本,为 0 + 1 + 3 = 4。示例 2:
输入:k = 3, w = 0, profits = [1,2,3], capital = [0,1,2]
输出:6题解
将成本与纯利益放置一个二维数组中,将其对应,再按照成本从小到大排序,保证成本能满足后面的项目放入heap的话前面的也能
循环k次,在累加利益之前,放入所有成本能够满足的项目,项目用current标识,之后用heap取出最大的利益项目迭代资本w
class Solution {
public int findMaximizedCapital(int k, int w, int[] profits, int[] capital) {
int n = profits.length;
int[][] arr = new int[n][2];
for(int i = 0; i < n; i++) {
arr[i][0] = capital[i];
arr[i][1] = profits[i];
}
Arrays.sort(arr, (a, b) -> a[0] - b[0]);
PriorityQueue<Integer> heap = new PriorityQueue<>((a, b) -> b - a);
int current = 0;
for(int i = 0; i < k; i++) {
while(current < n && arr[current][0] <= w) {
heap.add(arr[current][1]);
current++;
}
if(!heap.isEmpty()) {
w += heap.poll();
} else {
break;
}
}
return w;
}
}冗余连接
题目描述
树可以看成是一个连通且 无环 的 无向 图。
给定往一棵 n 个节点 (节点值 1~n) 的树中添加一条边后的图。添加的边的两个顶点包含在 1 到 n 中间,且这条附加的边不属于树中已存在的边。图的信息记录于长度为 n 的二维数组 edges ,edges[i] = [ai, bi] 表示图中在 ai 和 bi 之间存在一条边。
请找出一条可以删去的边,删除后可使得剩余部分是一个有着 n 个节点的树。如果有多个答案,则返回数组 edges 中最后出现的边。
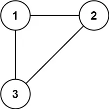
示例 1:

输入: edges = [[1,2],[1,3],[2,3]]
输出: [2,3]示例 2:

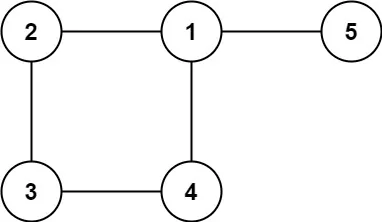
输入: edges = [[1,2],[2,3],[3,4],[1,4],[1,5]]
输出: [1,4]题解
并查集,查找第一个能形成环的边,如果find的两个结果是一样的则代表两个数字已经连接,这条边是冗余的,如果不一样,则合并两个图union一下
class Solution {
int[] parent;
public int[] findRedundantConnection(int[][] edges) {
int n = edges.length;
parent = new int[n + 1];
for(int i = 1; i <= n; i++) {
parent[i] = i;
}
for(int[] edge : edges) {
int x = edge[0];
int y = edge[1];
if(find(x) == find(y)) {
return edge;
} else {
union(x, y);
}
}
return new int[0];
}
int find(int index) {
if(parent[index] != index) {
parent[index] = find(parent[index]);
}
return parent[index];
}
void union(int x, int y) {
parent[find(x)] = find(y);
}
}