765 字
4 分钟
LeetCode刷题(电话号码的字母组合,打家劫舍)
电话号码的字母组合
题目描述
给定一个仅包含数字 2-9 的字符串,返回所有它能表示的字母组合。答案可以按 任意顺序 返回。
给出数字到字母的映射如下(与电话按键相同)。注意 1 不对应任何字母。

示例 1:
输入:digits = "23"
输出:["ad","ae","af","bd","be","bf","cd","ce","cf"]示例 2:
输入:digits = ""
输出:[]示例 3:
输入:digits = "2"
输出:["a","b","c"]提示:
0 <= digits.length <= 4digits[i]是范围['2', '9']的一个数字。
题解
自己写的,参考了之前的有一道括号组合的方式,用temp数组映射出对应的字符串,挨个取出递归加入之前的字符串,但是执行速度惨淡,好在可以过关
想了想应该是没有用StringBuffer的缘故,重复创建字符串到缓冲池,导致的执行速度和空间存储都很差,先这样吧,之后再找时间解决
class Solution {
private String[] map = {
"",//0
"",//1
"abc",//2
"def",//3
"ghi",//4
"jkl",//5
"mno",//6
"pqrs",//7
"tuv",//8
"wxyz"//9
};
List<String> result = new ArrayList<>();
public List<String> letterCombinations(String digits) {
fun("", digits, 0);
return result;
}
public void fun(String str, String digits, int idx) {
if(idx == digits.length()) {
if(str != "") {
result.add(str);
}
return;
}
int flag = digits.charAt(idx) - '0';
String target = map[flag];
for(int i = 0; i < target.length(); i++) {
char c = target.charAt(i);
fun(str + c, digits, idx + 1);
}
}
}打家劫舍
题目描述
小偷又发现了一个新的可行窃的地区。这个地区只有一个入口,我们称之为 root 。
除了 root 之外,每栋房子有且只有一个“父“房子与之相连。一番侦察之后,聪明的小偷意识到“这个地方的所有房屋的排列类似于一棵二叉树”。 如果 两个直接相连的房子在同一天晚上被打劫 ,房屋将自动报警。
给定二叉树的 root 。返回 在不触动警报的情况下 ,小偷能够盗取的最高金额 。
示例 1:

输入: root = [3,2,3,null,3,null,1]
输出: 7
解释: 小偷一晚能够盗取的最高金额 3 + 3 + 1 = 7示例 2:

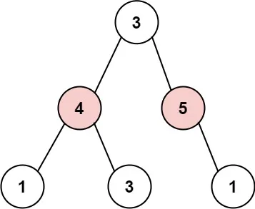
输入: root = [3,4,5,1,3,null,1]
输出: 9
解释: 小偷一晚能够盗取的最高金额 4 + 5 = 9题解
解法一:递归的判断是否打劫当前人家,返回最大的金钱数
class Solution {
public int rob(TreeNode root) {
if(root == null){
return 0;
}
int money = root.val;
if(root.left != null) {
money += rob(root.left.left) + rob(root.left.right);
}
if(root.right != null) {
money += rob(root.right.left) + rob(root.right.right);
}
return Math.max(money, rob(root.left) + rob(root.right));
}
}这种方法在递归的时候会产生非常多的重复情况,会出现超时
解法二:使用一个递归函数,返回一个大小为2的结果集,0表示不打劫该人家的最大金钱数,而1表示打劫该人家的最大金钱数
class Solution {
public int rob(TreeNode root) {
int[] result = robArray(root);
return Math.max(result[0], result[1]);
}
public int[] robArray(TreeNode root) {
int[] result = new int[2];
if(root == null) {
return result;
}
int[] left = robArray(root.left);
int[] right = robArray(root.right);
result[0] = Math.max(left[0], left[1]) + Math.max(right[0], right[1]);
result[1] = root.val + left[0] + right[0];
return result;
}
} LeetCode刷题(电话号码的字母组合,打家劫舍)
https://thrinisty.github.io/Blog/posts/leetcode刷题电话号码的字母组合打家劫舍/