1293 字
6 分钟
LeetCode刷题(戳气球,字母异位词分组,层序遍历)

戳气球#

题目描述#

n 个气球,编号为0n - 1,每个气球上都标有一个数字,这些数字存在数组 nums 中。

现在要求你戳破所有的气球。戳破第 i 个气球,你可以获得 nums[i - 1] * nums[i] * nums[i + 1] 枚硬币。 这里的 i - 1i + 1 代表和 i 相邻的两个气球的序号。如果 i - 1i + 1 超出了数组的边界,那么就当它是一个数字为 1 的气球。

求所能获得硬币的最大数量。

示例 1:

输入:nums = [3,1,5,8]
输出:167
解释:
nums = [3,1,5,8] --> [3,5,8] --> [3,8] --> [8] --> []
coins =  3*1*5    +   3*5*8   +  1*3*8  + 1*8*1 = 167

示例 2:

输入:nums = [1,5]
输出:10

题解#

以现在的水平而言,不看题解只能够想到构造一个新的数组用于存储开始和结尾的1,看了题解后明确思路,通过三重循环进行二维数组的动态规划得出答案

TIP

三重循环分别代表的意义:

  1. 取对应区间的长度,从最小区间3开始
  2. 取对应长度区间的起始位置,根据长度的增加,上界依次减小
  3. 在长度区间内,遍历开区间的节点,迭代最大的区间结果最大值

在起始len为3的时候,left和right都是0,其实也就是只有一个气球可以戳

在后续的len为4的时候会使用到len为3时存储的开区间分别给左右两侧赋值,即左右两侧的结果都是最大的情况,再根据剩下的节点左右乘以len长度对应的边界节点数字,相加就是len为4在最后戳对应结点的时候的最大结果,而res是为了记录遍历所有对应节点中剩余最后节点取置最大的结果,并将其写入结果集二维数组中,用以下一次个长度的使用

另外注意:因为是最后一个被戳爆的,所以它周边没有球了!没有球了!只有这个开区间首尾的 i 和 j 了!! 这就是为什么DP的状态转移方程是只和 i 和 j 位置的数字有关

class Solution {
    public int maxCoins(int[] nums) {
        int n = nums.length;
        int temp[] = new int[n + 2];
        temp[0] = 1;
        temp[n + 1] = 1;
        for(int i = 0; i < n; i++) {
            temp[i + 1] = nums[i];
        } 
        int dp[][] = new int[n + 2][n + 2];
        for(int len = 3; len <= n + 2; len++) {
            for(int i = 0; i <= n + 2 - len; i++) {
                int res = 0;
                int r_b = i + len - 1;
                for(int k = i + 1; k < r_b; k++) {
                    int left = dp[i][k];
                    int right = dp[k][r_b];
                    res = Math.max(res, temp[i] * temp[k] * temp[r_b] + left + right);
                }
                dp[i][r_b] = res;
            }
        }
        return dp[0][n + 1];
    }
}

字母异位词分组#

题目描述#

给你一个字符串数组,请你将 字母异位词 组合在一起。可以按任意顺序返回结果列表。

字母异位词 是由重新排列源单词的所有字母得到的一个新单词。

示例 1:

输入: strs = ["eat", "tea", "tan", "ate", "nat", "bat"]
输出: [["bat"],["nat","tan"],["ate","eat","tea"]]

示例 2:

输入: strs = [""]
输出: [[""]]

示例 3:

输入: strs = ["a"]
输出: [["a"]]

题解#

利用HashMap的key值不能重复的特性,依次遍历字符串数组元素,将遍历的当前字符串用char数组存储,利用数组排序后再次构造字符串,这样得到的异构字符串会被更改成为相同的字符串

从结果map集合中取出对应的List异构存储集合,利用getOrDefault对于不存在的key值创建List集合,将当前遍历的字符串str放入对应的List异构存储集合,最后再将这个集合放回map中进行更新

class Solution {
    public List<List<String>> groupAnagrams(String[] strs) {
        Map<String, List<String>> map = new HashMap();
        for(String str : strs) {
            char[] arr = str.toCharArray();
            Arrays.sort(arr);
            String key = new String(arr);
            List<String> list = map.getOrDefault(key, new ArrayList<String>());
            list.add(str);
            map.put(key, list);
        }
        List<List<String>> result = new ArrayList<>(map.values());
        return result;
    }
}

二叉树层序遍历#

题目描述#

给你二叉树的根节点 root ,返回其节点值的 层序遍历 。 (即逐层地,从左到右访问所有节点)。

示例 1:

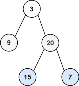
169

输入:root = [3,9,20,null,null,15,7]
输出:[[3],[9,20],[15,7]]

示例 2:

输入:root = [1]
输出:[[1]]

示例 3:

输入:root = []
输出:[]

题解#

通过一个队列的集合来进行层序遍历,相较于普通的层序遍历不区分层级,通过在遍历每一层的时候使用一个n变量计数,完成时对应层级结束,再取下一层计数n

TIP

这里我犯了一个小错,没有用new创建新的list集合加入result,导致了每一层的结果都是15,7,之前也用过这种方式,需要注意一下

class Solution {
    public List<List<Integer>> levelOrder(TreeNode root) {
        List<List<Integer>> result = new ArrayList<>();
        List<Integer> list = new ArrayList<>();
        if(root == null) {
            return result;
        }
        Queue<TreeNode> queue = new LinkedList<TreeNode>();
        queue.offer(root);
        while(!queue.isEmpty()) {
            list.clear();
            int n = queue.size();
            for(int i = 0; i < n; i++) {
                TreeNode node = queue.poll();
                list.add(node.val);
                if(node.left != null) {
                    queue.offer(node.left);
                }
                if(node.right != null) {
                    queue.offer(node.right);
                }
            }
            result.add(new ArrayList<Integer>(list));
        }
        return result;
    }
}
LeetCode刷题(戳气球,字母异位词分组,层序遍历)
https://thrinisty.github.io/Blog/posts/leetcode刷题戳气球字母异位词分组二叉树层序遍历/
作者
Thrinisty
发布于
2025-05-28
许可协议
CC BY-NC-SA 4.0