449 字
2 分钟
LeetCode刷题(岛屿数量,对称二叉树)
岛屿数量
题目描述
给你一个由 '1'(陆地)和 '0'(水)组成的的二维网格,请你计算网格中岛屿的数量。
岛屿总是被水包围,并且每座岛屿只能由水平方向和/或竖直方向上相邻的陆地连接形成。
此外,你可以假设该网格的四条边均被水包围。
示例 1:
输入:grid = [
["1","1","1","1","0"],
["1","1","0","1","0"],
["1","1","0","0","0"],
["0","0","0","0","0"]
]
输出:1示例 2:
输入:grid = [
["1","1","0","0","0"],
["1","1","0","0","0"],
["0","0","1","0","0"],
["0","0","0","1","1"]
]
输出:3题解
深度优先遍历,遍历二维数组的每一个元素,当为陆地的时候,用dfs遍历将相邻的1都置为0,使count++
class Solution {
public int numIslands(char[][] grid) {
int count = 0;
for(int i = 0; i < grid.length; i++) {
for(int j = 0; j < grid[0].length; j++) {
if(grid[i][j] == '1') {
dfs(grid, i, j);
count++;
}
}
}
return count;
}
private void dfs(char[][] grid, int i, int j) {
if(i >= 0 && i < grid.length && j >= 0 && j < grid[0].length && grid[i][j] == '1') {
grid[i][j] = '0';
dfs(grid, i - 1, j);
dfs(grid, i, j - 1);
dfs(grid, i + 1, j);
dfs(grid, i, j + 1);
}
}
}对称二叉树
题目描述
给你一个二叉树的根节点 root , 检查它是否轴对称。
示例 1:

输入:root = [1,2,2,3,4,4,3]
输出:true示例 2:

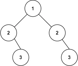
输入:root = [1,2,2,null,3,null,3]
输出:false题解
判断一棵树是否对成,需要判断左右孩子是否等价,其中check方法是检测左右两个孩子是否等价,等价条件为两个子节点值相同,且p.left节点等价于q.right,q.left 等价于 p.right
class Solution {
public boolean isSymmetric(TreeNode root) {
return check(root.left, root.right);
}
private boolean check(TreeNode p, TreeNode q) {
if(p == null && q == null) {
return true;
}
if(p == null || q == null) {
return false;
}
boolean flag1 = p.val == q.val;
boolean flag2 = check(p.left, q.right);
boolean flag3 = check(p.right, q.left);
return flag1 && flag2 && flag3;
}
} LeetCode刷题(岛屿数量,对称二叉树)
https://thrinisty.github.io/Blog/posts/leetcode刷题岛屿数量对称二叉树/