多数元素
题目描述
给定一个大小为 n 的数组 nums ,返回其中的多数元素。多数元素是指在数组中出现次数 大于 ⌊ n/2 ⌋ 的元素。
你可以假设数组是非空的,并且给定的数组总是存在多数元素。
示例 1:
输入:nums = [3,2,3]
输出:3示例 2:
输入:nums = [2,2,1,1,1,2,2]
输出:2题解
解法一:先对数组进行排序,返回数组中间的数字(无论是全在左侧还是全在右侧亦或者是其他情况,中间的数字都是大于总数一半的数字)
class Solution {
public int majorityElement(int[] nums) {
Arrays.sort(nums);
return nums[nums.length / 2];
}
}解法二:摩尔投票
推论一: 若记 众数 的票数为 +1 ,非众数 的票数为 −1 ,则一定有所有数字的 票数和 >0 。
推论二: 若数组的前 a 个数字的 票数和 =0 ,则 数组剩余 (n−a) 个数字的 票数和一定仍 >0 ,即后 (n−a) 个数字的 众数仍为 x
class Solution {
public int majorityElement(int[] nums) {
int count = 0;
Integer candidate = null;
for(int num : nums) {
if(count == 0) {
candidate = num;
}
count += (num == candidate) ? 1 : -1;
}
return candidate;
}
}解法三:利用一个Map集合将所有的数字放入其中,value记录数字数量,再次便利map集合,当一个key对应的数值部分大于数组一半的时候返回这个key作为结果
class Solution {
public int majorityElement(int[] nums) {
Map<Integer, Integer> map = new HashMap<>();
for(int num : nums) {
int i = map.getOrDefault(num, 0);
i++;
map.put(num, i);
}
int target = nums.length / 2;
Set<Integer> set = map.keySet();
for(Integer key : set) {
if(map.get(key) > target) {
return key;
}
}
return 0;
}
}寻找重复数
题目描述
给定一个包含 n + 1 个整数的数组 nums ,其数字都在 [1, n] 范围内(包括 1 和 n),可知至少存在一个重复的整数。
假设 nums 只有 一个重复的整数 ,返回 这个重复的数 。
你设计的解决方案必须 不修改 数组 nums 且只用常量级 O(1) 的额外空间。
示例 1:
输入:nums = [1,3,4,2,2]
输出:2示例 2:
输入:nums = [3,1,3,4,2]
输出:3示例 3 :
输入:nums = [3,3,3,3,3]
输出:3题解
用数组模拟链表,当有重复的数的时候,出现环,通过快慢指针找出环的入口即为重复的数字
class Solution {
public int findDuplicate(int[] nums) {
int slow = 0;
int fast = 0;
do {
slow = nums[slow];
fast = nums[nums[fast]];
} while(slow != fast);
slow = 0;
while(slow != fast) {
slow = nums[slow];
fast = nums[fast];
}
return slow;
}
}第一次接触环形链表的判断,以及找到环的入口,不太理解,先背下来
第一部分:使得快慢指针指向起始位置,开始移动,直到指向的节点重复
第二部分:将慢指针指向起始位置,快慢指针依次移动一格,重复直到指向相同节点,该节点为环开始的节点
环形链表
额外加的:主要是上一题没有该题的基础
题目描述
定一个链表的头节点 head ,返回链表开始入环的第一个节点。 如果链表无环,则返回 null。
如果链表中有某个节点,可以通过连续跟踪 next 指针再次到达,则链表中存在环。 为了表示给定链表中的环,评测系统内部使用整数 pos 来表示链表尾连接到链表中的位置(索引从 0 开始)。如果 pos 是 -1,则在该链表中没有环。注意:pos 不作为参数进行传递,仅仅是为了标识链表的实际情况。
不允许修改 链表。
示例 1:

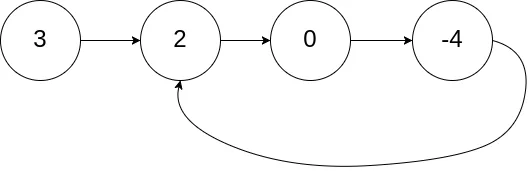
输入:head = [3,2,0,-4], pos = 1
输出:返回索引为 1 的链表节点
解释:链表中有一个环,其尾部连接到第二个节点。示例 2:

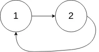
输入:head = [1,2], pos = 0
输出:返回索引为 0 的链表节点
解释:链表中有一个环,其尾部连接到第一个节点。示例 3:

输入:head = [1], pos = -1
输出:返回 null
解释:链表中没有环。题解
public class Solution {
public ListNode detectCycle(ListNode head) {
ListNode slow = head;
ListNode fast = head;
while(true) {
if(fast == null || fast.next == null) {
return null;
}
slow = slow.next;
fast = fast.next.next;
if(slow == fast) {
break;
}
}
slow = head;
while(slow != fast) {
slow = slow.next;
fast = fast.next;
}
return slow;
}
}