703 字
4 分钟
LeetCode刷题(和为K的子数组、二叉树中最大路径和)
和为K的子数组
题目描述
给你一个整数数组 nums 和一个整数 k ,请你统计并返回 该数组中和为 k 的子数组的个数 。
子数组是数组中元素的连续非空序列。
示例 1:
输入:nums = [1,1,1], k = 2
输出:2示例 2:
输入:nums = [1,2,3], k = 3
输出:2题解
解法一:暴力拆解,这里不break作剪枝是因为有负数和0的测例,同一种开头的i可能有大于1的情况
class Solution {
public int subarraySum(int[] nums, int k) {
int result = 0;
for(int i = 0; i < nums.length; i++) {
int sum = 0;
for(int j = i; j < nums.length; j++) {
sum += nums[j];
if(sum == k) {
result++;
}
}
}
return result;
}
}解法二:前缀和+哈希表
设立一个哈希表依次存储数组的各项前缀和,值为其存在的次数
遍历途中哈希表key如果存在target,代表存在value种情况符合和为k,将value取出加到结果上,最后将当前的前缀和存到map中,如果存在则对应的value++
class Solution {
public int subarraySum(int[] nums, int k) {
int sum = 0;
int result = 0;
Map<Integer, Integer> map = new HashMap<>();
map.put(0, 1);
for(int i = 0; i < nums.length; i++) {
sum += nums[i];
int target = sum - k;
if(map.containsKey(target)) {
result += map.get(target);
}
map.put(sum, map.getOrDefault(sum, 0) + 1);
}
return result;
}
}二叉树中最大路径和
题目描述
二叉树中的 路径 被定义为一条节点序列,序列中每对相邻节点之间都存在一条边。同一个节点在一条路径序列中 至多出现一次 。该路径 至少包含一个 节点,且不一定经过根节点。
路径和 是路径中各节点值的总和。
给你一个二叉树的根节点 root ,返回其 最大路径和 。
示例 1:

输入:root = [1,2,3]
输出:6
解释:最优路径是 2 -> 1 -> 3 ,路径和为 2 + 1 + 3 = 6示例 2:

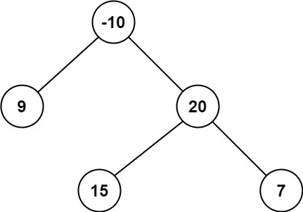
输入:root = [-10,9,20,null,null,15,7]
输出:42
解释:最优路径是 15 -> 20 -> 7 ,路径和为 15 + 20 + 7 = 42题解
求二叉树直径算法
class Solution {
int result = 0;
public int diameterOfBinaryTree(TreeNode root) {
int height = deep(root);
return result;
}
public int deep(TreeNode root) {
if(root == null) {
return 0;
}
int leftHeight = deep(root.left);
int rightHeight = deep(root.right);
result = Math.max(result, leftHeight + rightHeight);
return Math.max(leftHeight, rightHeight) + 1;
}
}思路和求最长路径类似,在dfs算法中迭代result结果,只不过返回的结果是最长的一个边,因为有负数的存在还需判断是否不取该root节点的边和(返回0)
class Solution {
int result = Integer.MIN_VALUE;
public int maxPathSum(TreeNode root) {
dfs(root);
return result;
}
public int dfs(TreeNode root) {
if(root == null) {
return 0;
}
int left = dfs(root.left);
int right = dfs(root.right);
result = Math.max(result, left + root.val + right);
return Math.max(Math.max(left, right) + root.val, 0);
}
} LeetCode刷题(和为K的子数组、二叉树中最大路径和)
https://thrinisty.github.io/Blog/posts/leetcode刷题和为k的子数组二叉树中最大路径和/