773 字
4 分钟
LeetCode刷题(反转链表,二叉树展开,独立数字)

反转链表#

题目描述#

给你单链表的头节点 head ,请你反转链表,并返回反转后的链表。

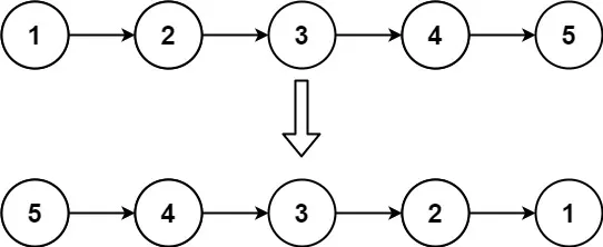
示例 1:

162

输入:head = [1,2,3,4,5]
输出:[5,4,3,2,1]

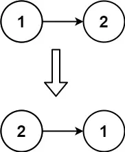
示例 2:

163

输入:head = [1,2]
输出:[2,1]

示例 3:

输入:head = []
输出:[]

题解#

设立一个哨兵节点result,其之后的链表为我们需要存储的结果

通过p指针依次遍历head链表,将遍历到的每一个节点通过头插法插入result中即可实现链表反转

class Solution {
    public ListNode reverseList(ListNode head) {
       ListNode result = new ListNode();
       ListNode p = head;
       ListNode temp;
       while(p != null) {
        temp = p.next;
        p.next = result.next;
        result.next = p;
        p = temp;
       }
       return result.next;
    }
}

二叉树展开为链表#

题目描述#

给你二叉树的根结点 root ,请你将它展开为一个单链表:

  • 展开后的单链表应该同样使用 TreeNode ,其中 right 子指针指向链表中下一个结点,而左子指针始终为 null
  • 展开后的单链表应该与二叉树 先序遍历 顺序相同。

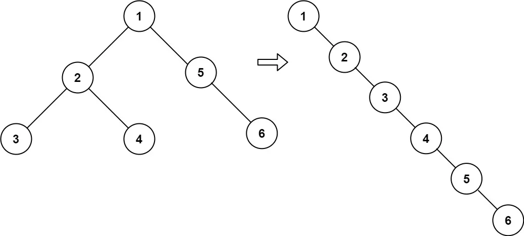
示例 1:

164

输入:root = [1,2,5,3,4,null,6]
输出:[1,null,2,null,3,null,4,null,5,null,6]

示例 2:

输入:root = []
输出:[]

示例 3:

输入:root = [0]
输出:[0]

题解#

通过先序遍历,将二叉树的节点放置于List链表中,再遍历List链表,将节点一次通过右孩子连接,而左孩子置为空

class Solution {
    public void flatten(TreeNode root) {
        List<TreeNode> list = new ArrayList();
        fun(root, list);
        int n = list.size();
        for(int i = 1; i < n; i++) {
            TreeNode node1 = list.get(i - 1);
            TreeNode node2 = list.get(i);
            node1.left = null;
            node1.right = node2;
        }
    }

    public void fun(TreeNode root, List<TreeNode> list) {
        if(root == null) {
            return;
        }
        list.add(root);
        fun(root.left, list);
        fun(root.right, list);
    }
}

只出现一次的数字#

题目描述#

给你一个 非空 整数数组 nums ,除了某个元素只出现一次以外,其余每个元素均出现两次。找出那个只出现了一次的元素。

你必须设计并实现线性时间复杂度的算法来解决此问题,且该算法只使用常量额外空间。

示例 1 :

**输入:**nums = [2,2,1]

**输出:**1

示例 2 :

**输入:**nums = [4,1,2,1,2]

**输出:**4

示例 3 :

**输入:**nums = [1]

**输出:**1

题解#

第一种:最直观暴力的方式,遍历nums数组,依次判断list集合中是否存在相同的数字,有则删除,没有则放入,最后剩下的那一个就是只出现过一次的数字,这种解法的思想有点类似于 抽乌龟 卡牌游戏

class Solution {
    public int singleNumber(int[] nums) {
        List<Integer> list = new ArrayList<>();
        int n = nums.length;
        for(int i = 0; i < n; i++) {
            if(list.contains(nums[i])) {
                list.remove(new Integer(nums[i]));
            } else{
                list.add(nums[i]);
            }
        }
        return list.get(0);
    }
}

第二种:通过异或位运算求解,涉及到了数学方法,非常简单,大致思路是证明,2n + 1个数组的集体求异或,利用交换律,可以得出结果就是 0 ^ (target) = target 即我们需要的结果

class Solution {
    public int singleNumber(int[] nums) {
        int result = 0;
        int n = nums.length;
        for(int i = 0; i < n; i++) {
            result = result ^ nums[i];
        }
        return result;
    }
}
LeetCode刷题(反转链表,二叉树展开,独立数字)
https://thrinisty.github.io/Blog/posts/leetcode刷题反转链表二叉树展开独立数字/
作者
Thrinisty
发布于
2025-05-24
许可协议
CC BY-NC-SA 4.0