814 字
4 分钟
LeetCode刷题(删除链表的倒数第N个节点、启云方笔试)
删除链表的倒数第N个节点
题目描述
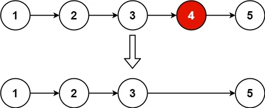
给你一个链表,删除链表的倒数第 n 个结点,并且返回链表的头结点。

示例 1:
输入:head = [1,2,3,4,5], n = 2
输出:[1,2,3,5]示例 2:
输入:head = [1], n = 1
输出:[]示例 3:
输入:head = [1,2], n = 1
输出:[1]题解
解法一:
我的思路是遍历一遍链表,找出节点偏移,用一个方法结合偏移删除目标节点
class Solution {
public ListNode removeNthFromEnd(ListNode head, int n) {
ListNode p = head;
int count = 0;
while(p != null) {
count++;
p = p.next;
}
if(count == 1) {
return null;
}
int index = count - n;
return removeNode(head, index);
}
public ListNode removeNode(ListNode head, int n) {
ListNode result = new ListNode();
result.next = head;
ListNode p = result;
for(int i = 0; i < n; i++) {
p = p.next;
}
p.next = p.next.next;
return result.next;
}
}解法二:
先将快指针移动n步,之后快慢指针一起移动直到快指针的下一个节点为空,这个时候慢指针所指的下一个元素即为需要删除的节点
class Solution {
public ListNode removeNthFromEnd(ListNode head, int n) {
ListNode result = new ListNode();
result.next = head;
ListNode fast = result;
ListNode slow = result;
for(int i = 0; i < n; i++) {
fast = fast.next;
}
while(fast.next != null) {
fast = fast.next;
slow = slow.next;
}
slow.next = slow.next.next;
return result.next;
}
}启云方笔试
题目描述
根据后序遍历的结果和中序数组求增序遍历的结果
给定两个整数数组 postorder 和 inorder,其中 postorder 是二叉搜索树(BST)的后序遍历结果,inorder 是同一棵树的中序遍历结果,请你构造并返回这棵二叉搜索树的层序遍历结果(即广度优先遍历,按层输出节点值)。
二叉搜索树的定义为:
- 左子树的所有节点值均小于根节点的值。
- 右子树的所有节点值均大于根节点的值。
- 左右子树也必须是二叉搜索树。
示例 1:
- 输入
postorder = [9, 15, 7, 20, 3]inorder = [9, 3, 15, 20, 7]
- 输出:
[ [3], [9, 20], [15, 7] ](层序遍历结果,同层节点从左到右排列)
示例 2:
- 输入
postorder = [2,1]inorder = [2,1]
- 输出:
[ [1], [2] ]
题解
其实就是之前先序遍历+中序遍历构造二叉树和层序遍历的综合题目,改成了后序遍历,只需要取数组最后一个节点作为根即可,思路大致一致,注意一下下标
package com.nwpu;
import java.util.*;
class TreeNode {
char val;
TreeNode left;
TreeNode right;
TreeNode() {}
TreeNode(char x) {
val = x;
}
}
public class Main {
public static void main(String[] args) {
Scanner scanner = new Scanner(System.in);
String back = scanner.next();
String mid = scanner.next();
char[] backArray = back.toCharArray();
char[] midArray = mid.toCharArray();
TreeNode root = build(backArray, midArray);
// func(root);
printTree(root);
}
public static TreeNode build(char[] backArray, char[] midArray) {
if(backArray.length == 0 || midArray.length == 0) {
return null;
}
char val = backArray[backArray.length - 1];
TreeNode root = new TreeNode(val);
for(int i = 0; i < midArray.length; i++) {
if(midArray[i] == val) {
char[] leftBackArray = Arrays.copyOfRange(backArray, 0, i);
char[] leftMidArray = Arrays.copyOfRange(midArray, 0, i);
char[] rightBackArray = Arrays.copyOfRange(backArray, i, backArray.length - 1);
char[] rightMidArray = Arrays.copyOfRange(midArray, i + 1, midArray.length);
root.left = build(leftBackArray, leftMidArray);
root.right = build(rightBackArray, rightMidArray);
break;
}
}
return root;
}
public static void printTree(TreeNode root) {
if(root == null) {
return;
}
Queue<TreeNode> queue = new LinkedList<>();
queue.offer(root);
while(!queue.isEmpty()) {
TreeNode node = queue.poll();
System.out.print(node.val);
if(node.left != null) {
queue.offer(node.left);
}
if(node.right != null) {
queue.offer(node.right);
}
}
}
public static void func(TreeNode root) {
if(root == null) {
return;
}
func(root.left);
System.out.println(root.val);
func(root.right);
}
} LeetCode刷题(删除链表的倒数第N个节点、启云方笔试)
https://thrinisty.github.io/Blog/posts/leetcode刷题删除链表的倒数第n个节点二叉树面试题/