873 字
4 分钟
LeetCode刷题(删除链表中的重复元素、K个一组反转链表)

删除链表中的重复元素#

题目描述#

给定一个已排序的链表的头 head删除所有重复的元素,使每个元素只出现一次 。返回 已排序的链表

示例 1:

输入:head = [1,1,2]
输出:[1,2]

示例 2:

输入:head = [1,1,2,3,3]
输出:[1,2,3]

题解#

当p的下一个节点不为空的时候比较当前节点和下一节点的数值,如果相同则将当前指针指向下一个的下一个节点(移除当前节点的后一节点),如果不同则将当前指针指向下一节点等待下一次判断

class Solution {
    public ListNode deleteDuplicates(ListNode head) {
        if(head == null) return null;
        ListNode p = head;
        while(p.next != null) {
            if(p.val == p.next.val) {
                p.next = p.next.next;
            } else {
                p = p.next;
            }
        }
        return head;
    }
}

删除链表中的重复元素Ⅱ#

题目描述#

定一个已排序的链表的头 head删除原始链表中所有重复数字的节点,只留下不同的数字 。返回 已排序的链表

示例 1:

输入:head = [1,2,3,3,4,4,5]
输出:[1,2,5]

示例 2:

输入:head = [1,1,1,2,3]
输出:[2,3]

题解#

这一道题是上一道题的拓展,将重复的元素给完全删除不保留其单一节点

思路有些改变,因为需要删除重复的所有节点包括起始的节点,我们需要一个记录节点的前一节点,选取该节点后的第一个数作为基准,依次删除值相同的节点

class Solution {
    public ListNode deleteDuplicates(ListNode head) {
        if(head == null) return null;
        ListNode result = new ListNode();
        result.next = head;
        ListNode p = result;
        while(p.next != null && p.next.next != null) {
            if(p.next.val == p.next.next.val) {
                int value = p.next.val;
                while(p.next != null && p.next.val == value) {
                    p.next = p.next.next;
                }
            } else {
                p = p.next;
            }
        }
        return result.next;
    }
}

K个一组反转链表#

题目描述#

给你链表的头节点 head ,每 k 个节点一组进行翻转,请你返回修改后的链表。

k 是一个正整数,它的值小于或等于链表的长度。如果节点总数不是 k 的整数倍,那么请将最后剩余的节点保持原有顺序。

你不能只是单纯的改变节点内部的值,而是需要实际进行节点交换。

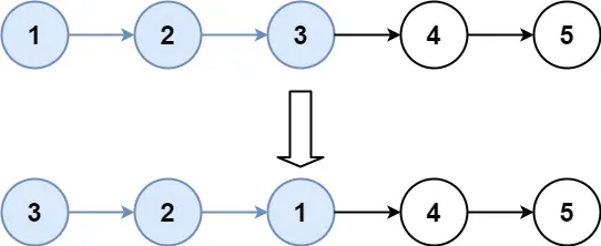
示例 1:

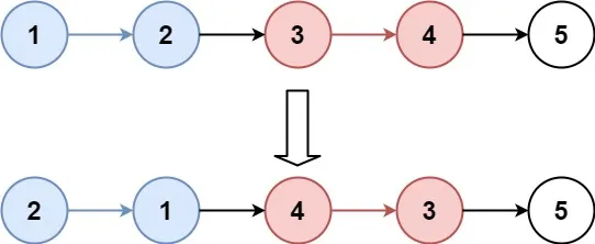
343

输入:head = [1,2,3,4,5], k = 2
输出:[2,1,4,3,5]

示例 2:

344

输入:head = [1,2,3,4,5], k = 3
输出:[3,2,1,4,5]

提示:

  • 链表中的节点数目为 n
  • 1 <= k <= n <= 5000
  • 0 <= Node.val <= 1000

题解#

这是我写的方法:一次运用之前的部分反转的思路进行反转每个k区间,直到next为空的时候停止,这种方式如果最后的区间不满足k个也会进行反转

class Solution {
    public ListNode reverseKGroup(ListNode head, int k) {
        ListNode result = new ListNode();
        result.next = head;
        ListNode last = result;
        ListNode cur = last.next;
        while(true) {
            if(cur == null) break;
            for(int i = 1; i < k; i++) {
                ListNode next = cur.next;
                if(next == null) break;
                cur.next = next.next;
                next.next = last.next;
                last.next = next;
            }
            last = cur;
            cur = last.next;
        }
        return result.next;
    }
}

应该在进行数量的判断,如果不满足K个数则提前返回

class Solution {
    public ListNode reverseKGroup(ListNode head, int k) {
        ListNode result = new ListNode();
        result.next = head;
        ListNode last = result;
        ListNode cur = last.next;
        while(true) {
            if(cur == null) break;
            int count = 0;
            ListNode p = cur;
            for(int i = 0; i < k; i++) {
                if(p == null) {
                    break;
                }
                count++;
                p = p.next;
            }
            if(count != k) break;
            for(int i = 1; i < k; i++) {
                ListNode next = cur.next;
                cur.next = next.next;
                next.next = last.next;
                last.next = next;
            }
            last = cur;
            cur = last.next;
        }
        return result.next;
    }
}
LeetCode刷题(删除链表中的重复元素、K个一组反转链表)
https://thrinisty.github.io/Blog/posts/leetcode刷题删除链表中的重复元素k个一组反转链表/
作者
Thrinisty
发布于
2025-11-08
许可协议
CC BY-NC-SA 4.0