460 字
2 分钟
LeetCode刷题(二叉搜索树最小绝对差、搜索树第K小元素)
二叉搜索树最小绝对差
题目描述
给你一个二叉搜索树的根节点 root ,返回 树中任意两不同节点值之间的最小差值 。
差值是一个正数,其数值等于两值之差的绝对值。
示例 1:

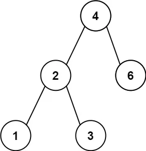
输入:root = [4,2,6,1,3]
输出:1示例 2:

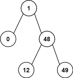
输入:root = [1,0,48,null,null,12,49]
输出:1题解
用pre记录前一个值,在中序遍历中进行对于result迭代
class Solution {
int result = Integer.MAX_VALUE;
int pre = -1;
public int getMinimumDifference(TreeNode root) {
dfs(root);
return result;
}
public void dfs(TreeNode root) {
if(root == null) return;
dfs(root.left);
if(pre != -1) {
result = Math.min(result, Math.abs(pre - root.val));
}
pre = root.val;
dfs(root.right);
}
}补一个非递归的方式
class Solution {
int result = Integer.MAX_VALUE;
int pre = -1;
public int getMinimumDifference(TreeNode root) {
Stack<TreeNode> stack = new Stack();
TreeNode p = root;
while(!stack.isEmpty() || p != null) {
while(p != null) {
stack.push(p);
p = p.left;
}
TreeNode node = stack.pop();
if(pre != -1) {
result = Math.min(result, Math.abs(node.val - pre));
}
pre = node.val;
p = node.right;
}
return result;
}
}搜索树第K小元素
题目描述
给定一个二叉搜索树的根节点 root ,和一个整数 k ,请你设计一个算法查找其中第 k 小的元素(从 1 开始计数)。
示例 1:

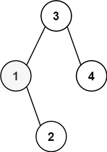
输入:root = [3,1,4,null,2], k = 1
输出:1示例 2:

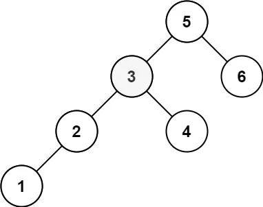
输入:root = [5,3,6,2,4,null,null,1], k = 3
输出:3题解
用中序遍历,遍历到数字就加一,如果当前数字在第K为就设置当前数字为result
class Solution {
int num = 1;
int result = -1;
int target;
public int kthSmallest(TreeNode root, int k) {
target = k;
dfs(root);
return result;
}
public void dfs(TreeNode root) {
if(root == null) return;
dfs(root.left);
if(num == target) {
result = root.val;
}
num++;
dfs(root.right);
}
}非递归
class Solution {
public int kthSmallest(TreeNode root, int k) {
Stack<TreeNode> stack = new Stack();
TreeNode p = root;
while(!stack.isEmpty() || p != null) {
while(p != null) {
stack.push(p);
p = p.left;
}
TreeNode node = stack.pop();
k--;
if(k == 0) {
return node.val;
}
p = node.right;
}
return p.val;
}
} LeetCode刷题(二叉搜索树最小绝对差、搜索树第K小元素)
https://thrinisty.github.io/Blog/posts/leetcode刷题二叉搜索树最小绝对差搜索树第k小元素/