613 字
3 分钟
LeetCode刷题(买股票一次买入卖出,二叉树直径)
买股票的最佳时机
题目描述
给定一个数组 prices ,它的第 i 个元素 prices[i] 表示一支给定股票第 i 天的价格。
你只能选择 某一天 买入这只股票,并选择在 未来的某一个不同的日子 卖出该股票。设计一个算法来计算你所能获取的最大利润。
返回你可以从这笔交易中获取的最大利润。如果你不能获取任何利润,返回 0 。
示例 1:
输入:[7,1,5,3,6,4]
输出:5
解释:在第 2 天(股票价格 = 1)的时候买入,在第 5 天(股票价格 = 6)的时候卖出,最大利润 = 6-1 = 5 。
注意利润不能是 7-1 = 6, 因为卖出价格需要大于买入价格;同时,你不能在买入前卖出股票。示例 2:
输入:prices = [7,6,4,3,1]
输出:0
解释:在这种情况下, 没有交易完成, 所以最大利润为 0。题解
这一道题目我还以为是可以多次买入卖出,只是不像之前的有冷冻期而已,但是只能买入卖出一次
我们记录历史的最低价格,遍历后续元素的时候迭代刷新,并计算当前价格减去历史价格的值是否大于先前的值,迭代之,最后的max即为我们需要的结果
class Solution {
public int maxProfit(int[] prices) {
int max = 0;
int min = Integer.MAX_VALUE;
for(int price : prices) {
min = Math.min(min, price);
max = Math.max(max, price - min);
}
return max;
}
}二叉树直径
题目描述
给你一棵二叉树的根节点,返回该树的 直径 。
二叉树的 直径 是指树中任意两个节点之间最长路径的 长度 。这条路径可能经过也可能不经过根节点 root 。
两节点之间路径的 长度 由它们之间边数表示。
示例 1:

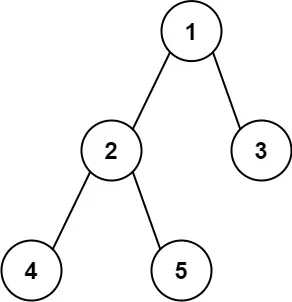
输入:root = [1,2,3,4,5]
输出:3
解释:3 ,取路径 [4,2,1,3] 或 [5,2,1,3] 的长度。示例 2:
输入:root = [1,2]
输出:1题解
递归,取左右字数深度的和迭代结果,返回二叉树深度
其实就是在之前求二叉树深度的基础上迭代result最大结果
class Solution {
int result = 0;
public int diameterOfBinaryTree(TreeNode root) {
maxDepth(root);
return result;
}
private int maxDepth(TreeNode root) {
if(root == null) {
return 0;
}
int leftMax = maxDepth(root.left);
int rightMax = maxDepth(root.right);
int maxLength = leftMax + rightMax;
result = Math.max(result, maxLength);
return Math.max(leftMax, rightMax) + 1;
}
} LeetCode刷题(买股票一次买入卖出,二叉树直径)
https://thrinisty.github.io/Blog/posts/leetcode刷题买股票一次买入卖出二叉树直径/